Junio 2002

 

  

Concurso de Calidad
Del profesor Cleary

¡ Felicitaciones !

Usted tiene razón

Donatello Mymuther debería decir a sus técnicos que es incapaz de responder correctmente a la pregunta, y el grupo debería buscar diagramas de dipersión en el Practical Tools for Continuous Improvement y encontrar los resportes sobre lo que quieren encontrar.

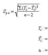
De hecho, como el Practical Tools explica, el error estándar del estimado es una medida de la variabilidad de las observaciones alrededor de la linea de regresión.

Si ésta es grande (como en la Figura 1), entonces las observaciones son distantes de la linea de regresión

Si las observaciones están muy cercanas a la línea de regresión, entonces será pequeña.

El error estándar del estimado es calculado con la siguiente fórmula:

Donde

 

 

 

Una observación

El valor estimado de y, dado un valor de x

El tamaño de la muestra

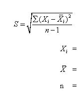
Conceptualmente, ésto es similar a la fórmula de la desviavión estándar:

Donde

 

 

 

Una observación

La media de la muestra

El tamaño de la muestra

La diferencia es que el error estandar del estimado mide la variabilidad alrededor de la línea, y la desviación estándar mide la variabilidad alrededor del punto.

Registre su respuesta para participar en el sorteo de un Quality Gamebox GRATIS

Nombre:

Puesto:

Dirección de Correo Electrónico:

Empresa:

Domicilio a donde debemos enviar el paquete:

Teléfono:

Comentarios:

 



 

Copyright 2002, PQ Systems, Inc., todos los derechos reservados
Última Actualización 22 de Noviembre del 2000
Envíenos sus comentarios sobre esta página a: Webmaster